顏色色彩管理、配色
咨詢熱線:400-888-5135 020-82880288

HSV顏色空間及HSV顏色空間色差公式
信息來源:三恩時品牌廠家
瀏覽次數:409
發表時間:2025-08-14
顏色空間又稱為彩色模型,其作用是在某些標準下用通常可接受的方式對彩色加以說明。根據基本結構的差異,可將顏色空間分為:基色顏色空間和色、亮分離顏色空間,HSV顏色空間就是常見的色、亮分離顏色空間。本文對HSV顏色空間及HSV顏色空間色差公式做了介紹。

HSV顏色空間介紹:
HSV顏色空間也是用三個顏色特征量來描述顏色的,分別是色調H(Hue)、飽和度S(Saturation)以及亮度V(Value)。在該顏色空間中,用角度表示色調這一顏色的主要特征,光波波長的長短導致了色差區別;飽和度表示色彩的強弱,其強弱程度取決于可見光波長的單純程度;亮度和光波的能量有關,表示物體表現出來的明暗程度。該空間的三維模型如下圖所示。

在HSV顏色模型中,每一種顏色和它的補色相差180。飽和度S取值從0到1,所以圓錐頂面的半徑為1。HSV顏色模型所代表的顏色域是CIE色度圖的一個子集,這個模型中飽和度為百分之百的顏色,其純度一般小于百分之百。在圓錐的頂點(即原點)處,V=0,H和S無定義,代表黑色。圓錐的頂面中心處S=0,V=1,H無定義,代表白色。從該點到原點代表亮度漸暗的灰色,即具有不同灰度的灰色。對于這些點,S=0,H的值無定義。可以說,HSV模型中的V軸對應于RGB顏色空間中的主對角線。在圓錐頂面的圓周上的顏色,V=1,S=1,這種顏色是純色。HSV顏色空間可以與 RGB顏色空間相互轉換,但是從人的視覺感知角度來講,HSV顏色空間是一種比較直觀的顏色模型。
HSV顏色空間色差公式:
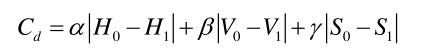
HSV顏色空間具有色調H(Hue)、飽和度S(Saturation)以及亮度V(Value)三個顏色特征分量。但是主要的顏色信息集中在色調H和飽和度S上,只有一小部分S分量會影響顏色信息。因此,在色差公式的計算上也應有相應的體現。

式中,α+β+γ=1。
下一頁 : 顏色定量分析中常用顏色空間類型及其特點