顏色色彩管理、配色

CIELAB測色系統與CIELCH測色系統的關系及轉換
CIELAB測色系統是顏色測量中最常用的測色系統,該測色系統用三個維度對顏色進行描述。CIELCH測色系統是從CIELab測色系統推導出來的,一種顏色可以用CIELAB表示,也可以用CIELCH表示。本文對CIELAB測色系統與CIELCH測色系統的關系及轉換做了介紹。

CIELAB測色系統介紹:
CIELab顏色空間是顏色量化中最常用的一種顏色空間,是基于生理特征的均勻顏色空間,是由明度(L)和兩個色度分量a、b共三個分量構成,L表示顏色的明度,也常被稱作亮度,取值范圍在[0,100],表示從純黑到純白。a表示從綠色到紅色,-a最小表示綠色,+a最大表示紅色,取值范圍在[-128,127],-a到+a是綠色到紅色顏色漸變的過程。b表示從藍色到黃色的范圍,同樣原理,-b到+b是由藍色逐漸過渡到黃色的過程,取值范圍在[-128,127]。其模型如下如所示:

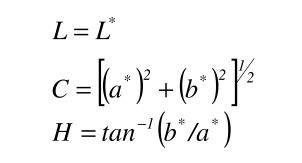
CIELab均勻顏色空間表示顏色的方式模擬了人眼對顏色的感覺。如上圖所示,顏色的明度感覺用縱坐標軸L*表示。所以,所有的非彩色都位于縱坐標軸上,從下到上依次為黑、深灰、灰、淺灰和白。根據圖中的幾何關系,該顏色的色調H*可以用其在a*與b*平面的投影到縱坐標軸連線與a*坐標軸的轉角h*ab表示;彩度(或飽和度)C*可以用該點到縱坐標軸的距離來表示。因此,可以得到:

在CIELAB顏色空間中,兩個顏色之間的色差可以用歐氏距離來表示:

其中L*是CIELAB空間的明度值,a*,b*為色品坐標,△L*、△a*和△b*分別是CIELAB空間中三個標尺的差值。
色差△E*ab,也可以用明度差△L*、彩度差△C*ab色調差△H*ab定義,即:

CIELAB測色系統與CIELCH測色系統的關系及轉換:
CIELCH顏色空間采用同CIELab一樣的顏色空間模型,把LAB用極坐標的方式表示LCH的顏色空間。如下圖所示,L*表示顏色的亮度值,C*表示顏色的飽和度值,H*表示顏色的色相值。縱坐標L*值同樣對應于顏色三要素的明度,取值0-100;C*代表彩度,即某一顏色的坐標位置與原點的距離,取值0-181,圓心處顏色的飽和度C*值為0,離圓心越遠C*的值越大;H*為色調,取值0°-360°,h*代表色調角,是某一顏色坐標在色品平面內的投影點和坐標原點的連線與a軸的夾角。規定h*從正a軸(紅)開始為0°,逆時針為正,正b軸(黃)為90°,負a軸(綠)為180°,負b軸(藍)為270°。LCH值與人們描述顏色的習慣更一致,但對于顏色測量來說,一般用LAB來描述顏色。

CIELCH色彩空間是從CIELab色彩空間推導出來的,一種顏色可以用LAB表示,也可以用LCH表示。CIELab與CIELCH之間的轉換關系為:
